Mplus model10latent 模型讲解

来自图书《MPlus中介调节模型》

Mplus复杂调节中介模型构建教程

  • 理论模型
  • 数学模型
  • 数学推导
  • Mplus代码解读

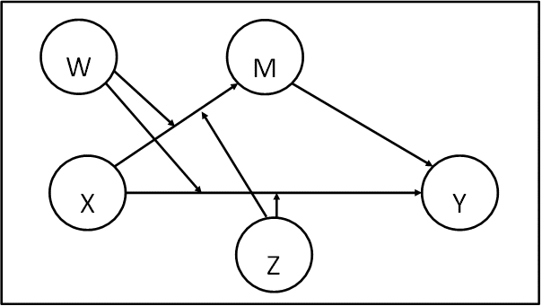
理论模型

数学模型

数学公式1

Y = b0 + b1M + c1'X + c2'W + c3'Z + c4'XW + c5'XZ
M = a0 + a1X + a2W + a3Z + a4XW + a5XZ

数学公式2

Y = b0 + b1M + c1'X + c2'W + c3'Z + c4'XW + c5'XZ
M = a0 + a1X + a2W + a3Z + a4XW + a5XZ
Y = b0 + b1(a0 + a1X + a2W + a3Z + a4XW + a5XZ) + c1'X + c2'W + c3'Z + c4'XW + c5'XZ

数学公式3

Y = b0 + b1M + c1'X + c2'W + c3'Z + c4'XW + c5'XZ
M = a0 + a1X + a2W + a3Z + a4XW + a5XZ
Y = b0 + b1(a0 + a1X + a2W + a3Z + a4XW + a5XZ) + c1'X + c2'W + c3'Z + c4'XW + c5'XZ
Y = b0 + a0b1 + a1b1X + a2b1W + a3b1Z + a4b1XW + a5b1XZ + c1'X + c2'W + c3'Z + c4'XW + c5'XZ

数学公式4

Y = b0 + b1M + c1'X + c2'W + c3'Z + c4'XW + c5'XZ
M = a0 + a1X + a2W + a3Z + a4XW + a5XZ
Y = b0 + b1(a0 + a1X + a2W + a3Z + a4XW + a5XZ) + c1'X + c2'W + c3'Z + c4'XW + c5'XZ
Y = b0 + a0b1 + a1b1X + a2b1W + a3b1Z + a4b1XW + a5b1XZ + c1'X + c2'W + c3'Z + c4'XW + c5'XZ
Y = (b0 + a0b1 + a2b1W + a3b1Z + c2'W + c3'Z) + (a1b1 + a4b1W + a5b1Z + c1' + c4'W + c5'Z)X

数学公式5

Y = b0 + b1M + c1'X + c2'W + c3'Z + c4'XW + c5'XZ
M = a0 + a1X + a2W + a3Z + a4XW + a5XZ
Y = b0 + b1(a0 + a1X + a2W + a3Z + a4XW + a5XZ) + c1'X + c2'W + c3'Z + c4'XW + c5'XZ
Y = b0 + a0b1 + a1b1X + a2b1W + a3b1Z + a4b1XW + a5b1XZ + c1'X + c2'W + c3'Z + c4'XW + c5'XZ
Y = (b0 + a0b1 + a2b1W + a3b1Z + c2'W + c3'Z) + (a1b1 + a4b1W + a5b1Z + c1' + c4'W + c5'Z)X
条件间接效应 (X 对 Y 的间接效应,取决于 W, Z):
a1b1 + a4b1W + a5b1Z = (a1 + a4W + a5Z)b1

数学公式6

Y = b0 + b1M + c1'X + c2'W + c3'Z + c4'XW + c5'XZ
M = a0 + a1X + a2W + a3Z + a4XW + a5XZ
Y = b0 + b1(a0 + a1X + a2W + a3Z + a4XW + a5XZ) + c1'X + c2'W + c3'Z + c4'XW + c5'XZ
Y = b0 + a0b1 + a1b1X + a2b1W + a3b1Z + a4b1XW + a5b1XZ + c1'X + c2'W + c3'Z + c4'XW + c5'XZ
Y = (b0 + a0b1 + a2b1W + a3b1Z + c2'W + c3'Z) + (a1b1 + a4b1W + a5b1Z + c1' + c4'W + c5'Z)X
条件间接效应 (X 对 Y 的间接效应,取决于 W, Z):
a1b1 + a4b1W + a5b1Z = (a1 + a4W + a5Z)b1
条件直接效应 (X 对 Y 的直接效应,取决于 W, Z):
c1' + c4'W + c5'Z

代码解读1

USEVARIABLES = X1 X2 X3 X4 M1 M2 M3 M4 W1 W2 W3 W4 Z1 Z2 Z3 Z4 Y1 Y2 Y3 Y4;

代码解读2

USEVARIABLES = X1 X2 X3 X4 M1 M2 M3 M4 W1 W2 W3 W4 Z1 Z2 Z3 Z4 Y1 Y2 Y3 Y4;
ANALYSIS: TYPE = GENERAL RANDOM; ESTIMATOR = ML; ALGORITHM = INTEGRATION;

代码解读3

USEVARIABLES = X1 X2 X3 X4 M1 M2 M3 M4 W1 W2 W3 W4 Z1 Z2 Z3 Z4 Y1 Y2 Y3 Y4;
ANALYSIS: TYPE = GENERAL RANDOM; ESTIMATOR = ML; ALGORITHM = INTEGRATION;
MODEL: X BY X1 X2 X3 X4; M BY M1 M2 M3 M4; W BY W1* W2 W3 W4; Z BY Z1* Z2 Z3 Z4; Y BY Y1 Y2 Y3 Y4;

代码解读4

USEVARIABLES = X1 X2 X3 X4 M1 M2 M3 M4 W1 W2 W3 W4 Z1 Z2 Z3 Z4 Y1 Y2 Y3 Y4;
ANALYSIS: TYPE = GENERAL RANDOM; ESTIMATOR = ML; ALGORITHM = INTEGRATION;
MODEL: X BY X1 X2 X3 X4; M BY M1 M2 M3 M4; W BY W1* W2 W3 W4; Z BY Z1* Z2 Z3 Z4; Y BY Y1 Y2 Y3 Y4;
W@1; Z@1;

代码解读5

USEVARIABLES = X1 X2 X3 X4 M1 M2 M3 M4 W1 W2 W3 W4 Z1 Z2 Z3 Z4 Y1 Y2 Y3 Y4;
ANALYSIS: TYPE = GENERAL RANDOM; ESTIMATOR = ML; ALGORITHM = INTEGRATION;
MODEL: X BY X1 X2 X3 X4; M BY M1 M2 M3 M4; W BY W1* W2 W3 W4; Z BY Z1* Z2 Z3 Z4; Y BY Y1 Y2 Y3 Y4;
W@1; Z@1;
XW | X XWITH W; XZ | X XWITH Z;

代码解读6

USEVARIABLES = X1 X2 X3 X4 M1 M2 M3 M4 W1 W2 W3 W4 Z1 Z2 Z3 Z4 Y1 Y2 Y3 Y4;
ANALYSIS: TYPE = GENERAL RANDOM; ESTIMATOR = ML; ALGORITHM = INTEGRATION;
MODEL: X BY X1 X2 X3 X4; M BY M1 M2 M3 M4; W BY W1* W2 W3 W4; Z BY Z1* Z2 Z3 Z4; Y BY Y1 Y2 Y3 Y4;
W@1; Z@1;
XW | X XWITH W; XZ | X XWITH Z;
Y ON M (b1); Y ON X (cdash1); Y ON W (cdash2); Y ON Z (cdash3); Y ON XW (cdash4); Y ON XZ (cdash5); M ON X (a1); M ON W (a2); M ON Z (a3); M ON XW (a4); M ON XZ (a5);

代码解读7

USEVARIABLES = X1 X2 X3 X4 M1 M2 M3 M4 W1 W2 W3 W4 Z1 Z2 Z3 Z4 Y1 Y2 Y3 Y4;
ANALYSIS: TYPE = GENERAL RANDOM; ESTIMATOR = ML; ALGORITHM = INTEGRATION;
MODEL: X BY X1 X2 X3 X4; M BY M1 M2 M3 M4; W BY W1* W2 W3 W4; Z BY Z1* Z2 Z3 Z4; Y BY Y1 Y2 Y3 Y4;
W@1; Z@1;
XW | X XWITH W; XZ | X XWITH Z;
Y ON M (b1); Y ON X (cdash1); Y ON W (cdash2); Y ON Z (cdash3); Y ON XW (cdash4); Y ON XZ (cdash5); M ON X (a1); M ON W (a2); M ON Z (a3); M ON XW (a4); M ON XZ (a5);
MODEL CONSTRAINT: NEW(LOW_W MED_W HIGH_W LOW_Z MED_Z HIGH_Z ...); LOW_W = -1; MED_W = 0; HIGH_W = 1; ...

代码解读8

USEVARIABLES = X1 X2 X3 X4 M1 M2 M3 M4 W1 W2 W3 W4 Z1 Z2 Z3 Z4 Y1 Y2 Y3 Y4;
ANALYSIS: TYPE = GENERAL RANDOM; ESTIMATOR = ML; ALGORITHM = INTEGRATION;
MODEL: X BY X1 X2 X3 X4; M BY M1 M2 M3 M4; W BY W1* W2 W3 W4; Z BY Z1* Z2 Z3 Z4; Y BY Y1 Y2 Y3 Y4;
W@1; Z@1;
XW | X XWITH W; XZ | X XWITH Z;
Y ON M (b1); Y ON X (cdash1); Y ON W (cdash2); Y ON Z (cdash3); Y ON XW (cdash4); Y ON XZ (cdash5); M ON X (a1); M ON W (a2); M ON Z (a3); M ON XW (a4); M ON XZ (a5);
MODEL CONSTRAINT: NEW(LOW_W MED_W HIGH_W LOW_Z MED_Z HIGH_Z ...); LOW_W = -1; MED_W = 0; HIGH_W = 1; ...
ILOW_LOZ = a1*b1 + a4*b1*LOW_W + a5*b1*LOW_Z; ...  DLOW_LOZ = cdash1 + cdash4*LOW_W + cdash5*LOW_Z; ... TLOW_LOZ = ILOW_LOZ + DLOW_LOZ; ...

代码解读9

USEVARIABLES = X1 X2 X3 X4 M1 M2 M3 M4 W1 W2 W3 W4 Z1 Z2 Z3 Z4 Y1 Y2 Y3 Y4;
ANALYSIS: TYPE = GENERAL RANDOM; ESTIMATOR = ML; ALGORITHM = INTEGRATION;
MODEL: X BY X1 X2 X3 X4; M BY M1 M2 M3 M4; W BY W1* W2 W3 W4; Z BY Z1* Z2 Z3 Z4; Y BY Y1 Y2 Y3 Y4;
W@1; Z@1;
XW | X XWITH W; XZ | X XWITH Z;
Y ON M (b1); Y ON X (cdash1); Y ON W (cdash2); Y ON Z (cdash3); Y ON XW (cdash4); Y ON XZ (cdash5); M ON X (a1); M ON W (a2); M ON Z (a3); M ON XW (a4); M ON XZ (a5);
MODEL CONSTRAINT: NEW(LOW_W MED_W HIGH_W LOW_Z MED_Z HIGH_Z ...); LOW_W = -1; MED_W = 0; HIGH_W = 1; ...
ILOW_LOZ = a1*b1 + a4*b1*LOW_W + a5*b1*LOW_Z; ...  DLOW_LOZ = cdash1 + cdash4*LOW_W + cdash5*LOW_Z; ... TLOW_LOZ = ILOW_LOZ + DLOW_LOZ; ...
PLOT(PLOW_LOZ PMEW_LOZ PHIW_LOZ ...); LOOP(XVAL,-3,3,0.1); PLOW_LOZ = ILOW_LOZ*XVAL; ...

代码解读10

USEVARIABLES = X1 X2 X3 X4 M1 M2 M3 M4 W1 W2 W3 W4 Z1 Z2 Z3 Z4 Y1 Y2 Y3 Y4;
ANALYSIS: TYPE = GENERAL RANDOM; ESTIMATOR = ML; ALGORITHM = INTEGRATION;
MODEL: X BY X1 X2 X3 X4; M BY M1 M2 M3 M4; W BY W1* W2 W3 W4; Z BY Z1* Z2 Z3 Z4; Y BY Y1 Y2 Y3 Y4;
W@1; Z@1;
XW | X XWITH W; XZ | X XWITH Z;
Y ON M (b1); Y ON X (cdash1); Y ON W (cdash2); Y ON Z (cdash3); Y ON XW (cdash4); Y ON XZ (cdash5); M ON X (a1); M ON W (a2); M ON Z (a3); M ON XW (a4); M ON XZ (a5);
MODEL CONSTRAINT: NEW(LOW_W MED_W HIGH_W LOW_Z MED_Z HIGH_Z ...); LOW_W = -1; MED_W = 0; HIGH_W = 1; ...
ILOW_LOZ = a1*b1 + a4*b1*LOW_W + a5*b1*LOW_Z; ...  DLOW_LOZ = cdash1 + cdash4*LOW_W + cdash5*LOW_Z; ... TLOW_LOZ = ILOW_LOZ + DLOW_LOZ; ...
PLOT(PLOW_LOZ PMEW_LOZ PHIW_LOZ ...); LOOP(XVAL,-3,3,0.1); PLOW_LOZ = ILOW_LOZ*XVAL; ...
OUTPUT: CINT;

资源汇总

  • 本视频讲义地址: https://mlln.cn/mplus-model-templates/model10latent.html
  • 图书《MPlus中介调节模型》打包下载: 点击下载
  • 图书《MPlus中介调节模型》在线看: 点击查看
  • 视频教程: 点击这里打开视频
  • Mplus 模型模板教程列表: https://mlln.cn/mplus-model-templates
  • 统计咨询: https://wx.zsxq.com/group/88888188828842